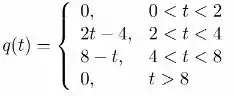
A corrente em um componente de um circuito é:

Onde as correntes estão em ampères e o tempo em segundos. Determine a carga total que entra no componente em .
Passo 1
Faala galera, vem comigo resolver mais uma questãozinha do nosso livro!
No enunciado da questão ele nos fornece os valores das correntes em um dado intervalo de tempo e em seguida nos pede para calcular a carga total que entra no componente em , sabemos que por definição a carga é dada por:
Com isso, iremos calcular cada caso.
Tudo certinho, vem comigo na resolução!
Passo 2
Para um :
Em , teremos:
Em , teremos:
Em , teremos:
Dessa forma, ficamos com:

Resposta
Ei, a resposta está no passo a passo :)