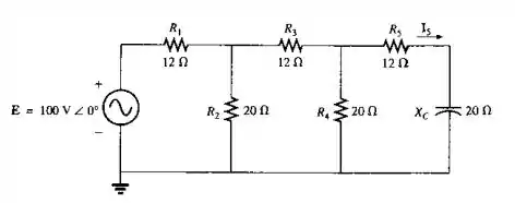
Determine a corrente para o circuito visto na Figura . Note o efeito de um elemento reativo no resultado dos cálculos.

Passo 1
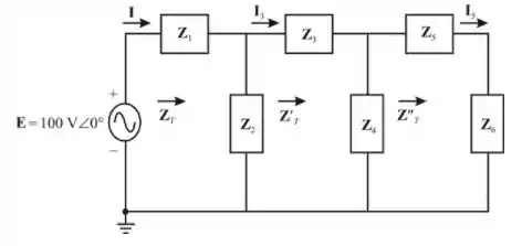
Observe atentamente a figura do enunciado. Podemos arranja-la da seguinte forma:

Agora que demos nomes aos bois, vamos aos cálculos:
Passo 2
Agora vamos calcular . Temos que:
Passo 3
Logo:
Passo 4
Podemos calcular a corrente da fonte:
Podemos calcular a corrente :
Portanto: