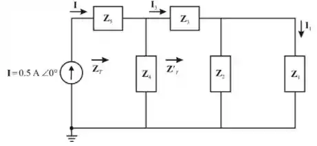
Determine a corrente para o circuito visto na Figura .

Passo 1
Observe atentamente a figura do enunciado. Podemos arranja-la da seguinte forma:

Agora que nomeamos os elementos, vamos aos cálculos:
Passo 2
Logo:
Passo 3
Podemos calcular a corrente :
Determine a corrente para o circuito visto na Figura .

Observe atentamente a figura do enunciado. Podemos arranja-la da seguinte forma:

Agora que nomeamos os elementos, vamos aos cálculos:
Logo:
Podemos calcular a corrente :