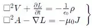
Mostre que as equações diferenciais para V e A (Eqs. 10.4 e 10.5) podem ser escritas na forma mais simétrica

Onde
![]()
Passo 1
Saaaalve, tranquilo? Vamos lá resolver mais uma questão juntos?! 😊


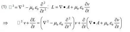
O que é igual
![]()
É a equação 10.4
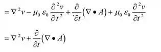
Passo 2

É a equação 10.5.
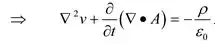
Resposta
Vide a explicação.