A onda quadrada de tensão da Figura P16.13(a) com Vm = 0,5p V e T = 10p ms é aplicada ao circuito da Figura P16.28. a) Calcule os três primeiros termos não nulos da série de Fourier que representa a tensão de regime permanente vo. b) Qual componente de frequência na tensão de entrada é eliminado da tensão de saída? Explique.

Passo 1
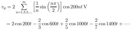
Saaaalve galerinha. Tudo bem com vocês? Vamo cair pra cima dessa questão! Da solução do Problema 16.13(a) a série de Fourier para a entrada de tensão é:

Como,
![]()
Podemos escrever a tensão de entrada como:

Podemos transformar fasoricamente esta série de Fourier para obter,
![]()

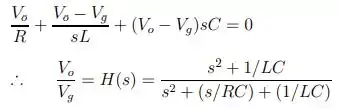
Do circuito na figura 16.28, temos:

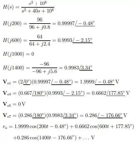
Substituindo os valores numéricos nos dá:

Passo 2
Aqui no item b), a quinta harmônica na frequência
![]()
foi eliminado da tensão de saída pelo circuito, que é um filtro de rejeição de banda com uma frequência central de 1000 rad/s.
Resposta
Resposta nos passos.