Sistema inercial move-se com velocidade constante em relação a S. Seus eixos são paralelos entre si e suas origens coincidem , como sempre. Encontre a matriz de transformação de Lorentz (Eq. 12.25).
Passo 1
E ai meus queridos, tudo dentro dos eixos?
Haha
Bora resolver essa comigo?
Encostaaa
Calcular


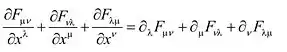
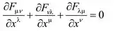
Nós sabemos
![]()

Passo 2
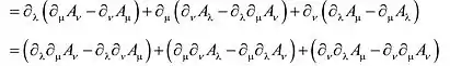
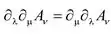
Desta maneira, teremos
![]()
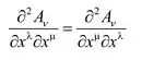
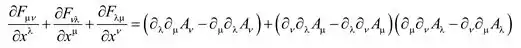
![]()
A equação acima satisfaz.

Resposta
Vide a explicação.