O amp op no circuito da Figura P5.19 é ideal.
- Qual é a configuração desse circuito amp op?
- Determine vo em termos de vs.
- Determine a faixa de valores para vs tal que vo não sature e o amp op permaneça em sua região linear de operação.

Passo 1
Falaaa, pessoal! Como vocês estão?
Bora pra mais uma questãozinha pra exercitar o que a gente sabe sobre o amplificador operacional!
- Como pode-se notar na figura e dados, o circuito mostrado é um amplificador não invertido.
- Nesse item, assumimos que o op amp é ideal. Usando a divisão de voltagem para calcular vp, temos que:
- Para essa questão, precisamos observar as relações que vão nos levar a resposta:
Passo 2

Utilizando uma equação KCL:

![]()

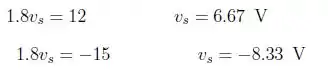
Podemos então concluir que:
![]()
Resposta
- Como pode-se notar na figura e dados, o circuito mostrado é um amplificador não invertido.
-

![]()