Avalie a energia total associada ao modo normal e mostre que ela é constante com o tempo. Mostre-a explicitamente para o caso do Exemplo 12.3.
Passo 1
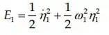
A energia total do r-ésimo modo normal é:

Onde:
![]()
Portanto:
![]()
Passo 2
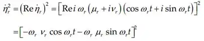
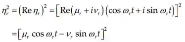
Para calcular e , devemos tomar os quadrados das partes reais de e :

Então:
![]()
Também:

Então:
![]()
Expandindo os quadrados em e e somando, encontramos:

Passo 3
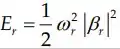
Então:
![]()
Assim, a energia total associada a cada modo normal é conservada separadamente.
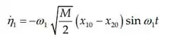
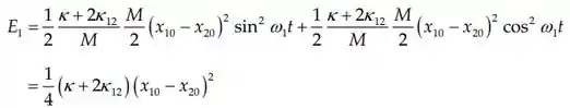
Para o caso do Exemplo 12.3, temos para o Modo 1:

Então:

Portanto:

Mas:
![]()
Por fim:

Que é reconhecido como o valor da energia potencial em .
Resposta
Ei, a resposta está no passo a passo :)