Calcule os valores máximos das amplitudes das funções respostas mostradas nas Figuras 3.22 e 3.24. Obtenha os valores numéricos para quando e
Passo 1
E aí galera, tudo beleza? Primeiro vamos analisar a Figura 3.22.
Vamos olhar para de forma que seja máximo:

E também temos que:

Para . Evidentemente, , faz com que a equação cima seja anulada.
Dessa forma a máxima amplitude é dada por:

Ou então:
![]()
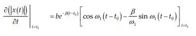
Passo 2
E agora galerinha do bem vamos analisar a Figura 3.24, que de forma semelhante ao passo anterior para encontrar a máxima amplitude da resposta da função, temos:

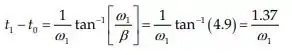
Se a equação acima for anulada, então é dado por:

Substituindo , temos:

![]()
Resposta
Ei, a resposta está no passo a passo :)