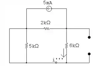
a) No circuito da Figura P4.92, antes de a fonte de corrente de 5 mA ser inserida nos terminais a,b, a corrente i o é calculada em 3,5 mA. Use o princípio da superposição para determinar o valor de i o após a inserção da fonte de corrente.
b) Verifique sua solução determinando i o quando todas as três fontes estão agindo simultaneamente.

Passo 1
Okaaay turminha, bora lá! Por hipótese,
![]()

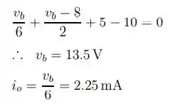
Logo,
![]()
Passo 2
Com todas as três fontes no circuito em uma única equação dos nós:
