Determine o circuito equivalente para uma ligação em série de capacitores ideais. Suponha que cada capacitor tenha sua própria tensão inicial. Denote essas tensões iniciais por v1(t0), v2(t0) e assim por diante. (Sugestão: some as tensões dos capacitores reconhecendo que a ligação em série obriga a corrente em cada capacitor a ser a mesma.)

Passo 1

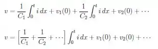
Falaaa, pessoal! Como vocês estão? Da figura 6.17 a), temos:

Portanto,

Resposta

Resposta nos passos