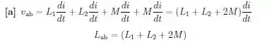
a) Mostre que os dois enrolamentos acoplados da Figura P6.40 podem ser substituídos por um único enrolamento com uma indutância de Lab = L1+ L2 + 2M. (Sugestão: expresse vab em função de iab.)
b) Mostre que, se os terminais do enrolamento L2 forem invertidos, Lab = L1 + L2 - 2M.

Passo 1
Falaaa, pessoal! Como vocês estão? Temos logo de cara que:

Passo 2
Logo, temos também

Resposta
Resposta nos passos