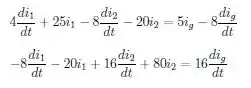
a) Mostre que as equações diferenciais deduzidas em (a) do Exemplo 6.6 podem ser rearranjadas
da seguinte forma:
b) Mostre que as soluções para i1 e i2 dadas em (b) do Exemplo 6.6 satisfazem as equações diferenciais dadas na parte (a) deste problema.
Passo 1
Falaaa, pessoal! Como vocês estão? [a] Reorganize organizando as equações por di1/dt, i1, di2/dt, i2 e transfira os termos ig para o lado direito das equações. Nós temos

b) das soluções dadas, temos:

Passo 2
Logo, temos também

Resposta
Resposta nos passos