Não há momento aberto.
a) Deduza de i diferente se que descreve o comportamento L1 = 5 H, L20 = V0,2 H, M e Ro = 10,5 H e Ro = 10,2 H.
b Mostre que, quando e-10t 100000t $ 0, a2t) compartilhed em (a25e-10t) encontrad diferencial é satisfeito quando i625e-10t - 25e-50t mA, $ 0.
c) Determine uma expressão para a tensão v1 nos terminais da fonte de corrente.
d) Qual é o valor inicial de v1? Isso faz sentido em termos do comportamento conhecido do circuito?
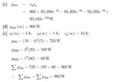
Passo 1
Falaaa, pessoal! Como vocês estão? Temos logo de cara que:

Passo 2
Logo, temos também

Resposta
Resposta nos passos