Obter as equações dos esforços simples na viga,

Passo 1
Falaaaaa rapaziada tudo blz?
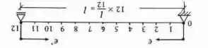
Nesta questão ele pede os esforços cortantes, normais e os momentos da viga dado a viga,

Lembrando que para acharmos o momento nesta parábola devemos saber que
Ficou na duvida como cheguei nestes momentos e esforços né? Fica de boa que vou te mostrar a tabela e você vai entender de boa.

Passo 2
Sabendo que,
Dado a viga em forma de parábola com carga distribuída, analisando a tabela dada temos


Lembrando que para acharmos o momento nesta parábola devemos saber que
Com isso, igualando os dois momentos temos
Para acharmos a reação basta derivarmos a função da tabela dada ficando,
Bem de boa ne meu amigo? Espero ter ajudado e nos vemos na próxima

Resposta