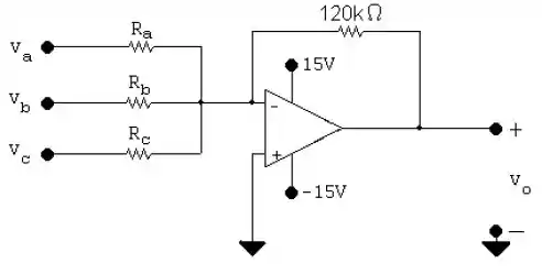
Projete um amplificador somador inversor de modo que
![]()
Comece escolhendo um resistor de realimentação (Rf) do Apêndice H. A seguir, escolha resistores individuais do Apêndice H ou construa redes de resistores dentre os valores listados no Apêndice H para satisfazer aos especificados para Ra, Rb, Rc e Rd. Desenhe o diagrama de seu circuito final.
Passo 1
Falaaa, pessoal! Como vocês estão? Bora lá! Para o item a), temos:

Logo,

Passo 2
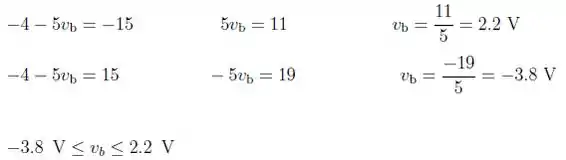
Pro item b), temos que:
![]()

Resposta
Resposta nos passos