Retrabalhe o problema no Exemplo 12.7 assumindo que as três partículas são deslocadas a uma distância a e liberadas do descanso.
Passo 1
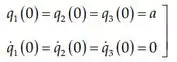
As condições inciais são:

Como as velocidades iniciais são zero, todos os se anulam e os são dados por:

Assim:

Passo 2
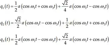
Os deslocamentos das partículas são:

Passo 3
Onde as frequências características são:

Como todas as três partículas foram inicialmente deslocadas, não podem existir modos normais em que qualquer uma das partículas esteja localizada em um nó. Para três partículas em uma corda, há apenas um modo normal no qual uma partícula está localizada em um nó. Este é o modo e, portanto, este modo está ausente.
Resposta
Ei, a resposta está no passo a passo :)