Sabe-se que a corrente no circuito da Figura P6.35 é io = 2e-5.000t(cos 1.000t + 5 sen 1.000t) A
para t $ 0+. Determine v1(0+) e v2(0+).

Passo 1
Falaaa, pessoal! Como vocês estão?
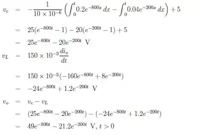
Resolvendo, temos que:

E foi isso vamos lá pra próxima 😊
Resposta
Resposta nos passos