A tensão que passa entre os terminais de um capacitor de 5 mF é

A corrente inicial no capacitor é 100 mA. Assuma a convenção passiva.
a) Qual é a energia inicial armazenada no capacitor?
b) Calcule os coeficientes A1 e A2.
c) Qual é a expressão para a corrente do capacitor?
Passo 1
Falaaa, pessoal! Como vocês estão?
Bora pra mais uma questãozinha pra exercitar o que a gente sabe sobre circuitos elétricos!
- Nesse primeiro item, a energia pode ser calculada da seguinte forma:
- Utilizaremos a relação:
- Usaremos como base a equação a seguir:

Passo 2
![]()
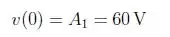
O primeiro coeficiente sai facilmente por:
![]()
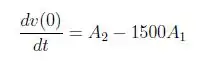
Usando esse valor na relação acima, isolamos o segundo coeficiente como:

Logo, podemos chegar na solução:

Passo 3
![]()
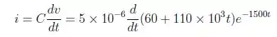
Com isso, criamos a equação de corrente:

E desenvolvendo a mesma, chegamos na equação pedida:

Resposta
