Calcule:

Passo 1
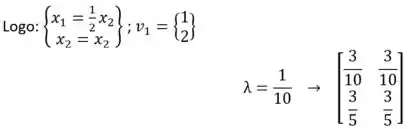
Uma boa forma de facilitar a resolução da questão é entender que se
![]()
então , ou seja, o problema consiste em encontrar o autovalor e autovetor da matriz.
- Autovalor:
- Autovetor:
![]()
Desenvolvendo, temos:
![]()
Portanto os autovalores são , logo:

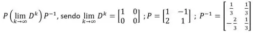
Passo 2

Fazendo eliminação de Gauss


Fazendo eliminação de Gauss


Passo 2
Portanto, para determinarmos

fazendo a multiplicação:

Resposta
