Determine valores de a para que T seja diagonalizável:

Passo 1
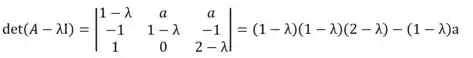
Saca só a resolução dessa questão! Para descobrirmos o valor de para que T seja diagonalizável, a condição é que encontremos os autovalores, assim:

Nós poderíamos até desenvolver essa equação de uma forma super complexa e blá blá blá, mas tem um macete lógico para resolver bem mais fácil. Você consegue perceber que seria uma boa estratégia se na equação
Nós zerarmos a parte 2 da direita (marcada de azul) e mantivermos só a multiplicação da parte (1) (marcada de vermelho).

Para zerar (2), , basta considerar a=0. Assim, teríamos , ou seja, seria bem mais fácil determinar que os autovalores valem: .
Portanto, dizemos que !!!