Determine valores de a para que T seja diagonalizável:
T(x,y,z) = (3x+az , 2y+az , 2z)
Passo 1
O primeiro passo para resolvermos essa equação é escrever T em forma matricial, ou seja, cada termo fica em uma linha e em cada coluna ficam x,y,z , dessa forma:

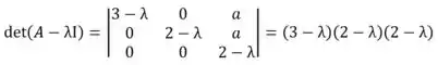
Beleza, então para descobrirmos o valor de para que T seja diagonalizável, a condição é que encontremos os autovalores, assim:

A partir da equação obtida, nós percebemos que os autovalores são , ou seja, independente de a matriz T é diagonalizável, portanto, pode assumir qualquer valor real.