
Passo 1
Opa, encara essa questão?
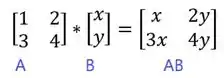
- Para resolver a letra a) temos que lembrar a propriedade de multiplicação de matrizes de que as colunas de AB são produto matriz-vetor (linhas) de A com colunas de B. Como produto matriz-vetor é combinação linear de colunas de A, a imagem abaixo é uma representação dessa relação.
- Do mesmo exemplo de matriz utilizado na letra a), percebemos que as linhas de AB são combinações lineares das linhas de B.
- De acordo com a propriedade de multiplicação de matrizes de que as colunas de AB são produto matriz-vetor (linhas) de A com colunas de B, assim como mostrado no exemplo abaixo:

Passo 2
Passo 3

Resposta
- Colunas ; A
- Linhas ; B
- Linhas ; Colunas.