Passo 1

Partiu mais uma questão!

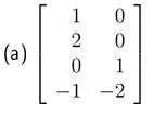
Se liga que o primeiro passo para obter a base é escalonar a matriz

[1 0 2 0 - 1 0 1 - 2] -> ((1)/(2) * R 2 -> R 2) = [1 0 1 0 - 1 0 1 - 2] -> (- 1 * R 4 -> R 4) = [1 0 1 0 1 0 1 2] -> (R 2 - 1 * R 1 -> R 2) = [1 0 0 0 1 0 1 2] -> (R 4 - 1 * R 1 -> R 4) = [1 0 0 0 0 0 1 2] -> (R 2 harr R 3) = [1 0 0 0 0 1 0 2] -> ((1)/(2) * R 4 -> R 4) = [1 0 0 0 0 1 0 1] -> (R 4 - 1 * R 2 -> R 4) = [1 0 0 0 0 1 0 0]

Depois disso basta escrever as variáveis em função de uma variável (t) livre, se;

x = 0 ,

y = 0

Resolvendo concluímos que o núcleo tem dimensão 0 com base Ø, ou seja, é um conjunto vazio é a base do espaço 0. Assim, a imagem são as colunas {(1 , 2 , 0 , - 2) , ( 0 , 0 , 1 , - 2 )} com dimensão d i m (T) = 2

Resposta

a ) ; 0 ; {(1 , 2 , 0 , - 2) , ( 0 , 0 , 1 , - 2 )} ; d i m (T) = 2