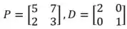
Sejam
![]()
e . Calcule (sem passar por ).
Passo 1
Essa questão consiste em APENAS multiplicar matrizes, acredite se quiser!!
O comando nos dá a equação e diz para considerarmos , ou seja:

E por fim, basta aplicar o processo de multiplicação de matrizes, sendo a linha da primeira multiplicada à coluna da segunda e assim sequencialmente. Desenvolvendo a matriz encontrada, temos que:

E pronto, finalizamos, topa destruir outra questão??
Resposta
