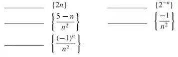
Classifique cada sequência como (C) crescente, (D) decrescente ou (N) nem crescente nem decrescente.

Passo 1
Nessa questão nós teremos que analisar individualmente de uma forma bem lógica a sequência dos termos.
Nesse sentido, qual seria o próximo termo de cada termo?
Passo 2
Se a sequência é crescente
Se o numerador de pode ser negativo ou positivo a depender do valor de n, a sequência não é crescente nem decrescente.
Passo 3
Se a sequência é decrescente
Se , a sequência é crescente
Como podemos perceber os termos da sequência podem ser negativos ou positivos, por exemplo, se e . Logo, não podemos afirmar se a sequência monótona.