Nos Problemas 1-20 encontre ou , como indicado.
Passo 1
Faaala. Galerinha!! Bora resolver essa questão juntos??
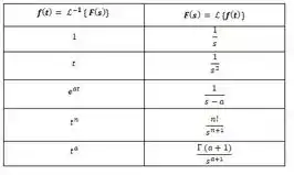
Bom, pra resolvermos essa questão, precisamos lembrar de algumas transformadas que nos auxiliam muito neste passo. Nós temos uma tabela que é muuuito benéfica nesses momentos, olhem só:

Vocês podem encontrar essa tabela inteirooona lá no nosso conteúdo especial de transformadas do Responde Aí.
Passo 2
Bom, então, teremos que, como n é 3 no nosso caso, e temos também um deslocamento de alpha igual a 2, podemos dizer que
Prontinhooo, galera!!! Bora pra próxima juntos??