O amp op no circuito da Figura P5.11 é ideal.
a) Determine a faixa de valores de s para que o amp op não se sature.
b) Determine io (em microampères) quando s = 0,272.

Passo 1
Falaaa, pessoal! Como vocês estão? Bora lá: a) Substituindo a combinação de vg, 1.6k Ohms, e 6.4k Ohms pelo equivalente de thevenin:

Logo,
![]()
Passo 2
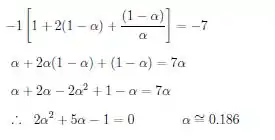
No item b), temos que:

Resposta
Resposta nos passos