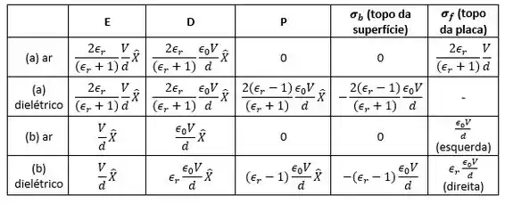
Suponha que você tem material dielétrico linear de constante dielétrica em quantidade suficiente para preencher pela metade um capacitor de placas paralelas (Figura 4.25). Qual o coeficiente de aumento da capacitância quando você distribui o material como na Figura 4.25(a)? E como na Figura 4.25(b)? Para uma diferença de potencial V dada entre as placas, encontre E, D e P, em cada região, como também a carga livre e a carga de polarização em todas as superfícies, para ambos os casos.
Passo 1
Bom dia, boa tarde, boa noite meu povoo!! Como vocês estão? Bora lá resolver mais uma questãozinha?
Antes de tudo, assumiremos o caso de estar sem dielétrico: .
Agora, adotando a configuração (a) mencionada no enunciado, com na chapa superior; na chapa inferior; ; no ar; e no dielétrico, teremos:
Assim, sabemos que:
Passo 2
Já na configuração (b), com diferença de potencial V: , temos: no ar.
Já como no dielétrico, teremos na superfície do topo do dielétrico.
Assim, temos ainda que:
Portanto, no topo da placa acima do dielétrico, teremos:
Desse modo, com os valores acima desenvolveremos:
Passo 3
Organizaremos nosso raciocínio desenvolvido nos passos anteriores, através da resposta em forma de tabela para essa questão. Assumiremos também, que o eixo x aponta para baixo, de modo a termos:

Prontinho, pessoal!! Bora resolver mais uma questão juntos?
Resposta
