Um astronauta parte da terra e viaja com uma velocidade de 0,99c em direção a estrela Veja, que está a 26,00 anos-luz de distancia. Quanto tempo terá passado de acordo com os relógios da Terra, (a) quando o astronauta chegar a Vega. B)quando os observadores terrestres receberem a noticia de que o astronauta chegou a vega? C)Qual a diferença entre o tempo de viagem de acordo com os relógios da Terra e o tempo de viagem de acordo com o relógio de bordo?
Passo 1
Saalve galerinha, tudo certo? Bem, vamos lá meus pequenos Einsteins! (a) A velocidade do viajante é v = 0,99c, que pode ser equivalentemente expressa como 0,99 ly/y. Seja a distância percorrida. Depois, o tempo para a viagem, tal como medido no estrutura da Terra é
![]()
b) O sinal, supostamente uma onda de rádio, viaja com velocidade c e assim leva 26,0 y para
alcançar a Terra. O tempo total decorrido, no quadro da Terra, é
![]()
Passo 2
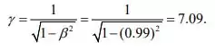
(c) O intervalo de tempo adequado é medido por um relógio na nave espacial, portanto ∆t0 = ∆t/γ. Agora

Logo
Resposta
c)