Uma barra se move com velocidade constante v ao longo do eixo x do referencial S, com a maior dimensão da barra parerela ao eixo x. Um observador estacionário no referencial S mede o comprimento L da barra. A figura 37-24 mostra o valor de L em função do parâmetro de velocidade para . A escala do eixo vertical é definida por L=1 m. Qual é o valor de L para v=0,95c?

Passo 1
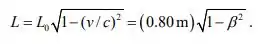
Saalve galerinha, tudo certo? Bem, vamos lá meus pequenos Einsteins! Do valor de L no gráfico quando β = 0, deduzimos que Lo em Eq. 37-13 é 0,80 m. Assim, essa equação (que descreve a curva na Fig. 37-24) com unidades SI compreendidas,
![]()
Se definirmos β = 0,95 nesta expressão, obtemos aproximadamente 0,25 m para L.