Considere a situação do exemplo 38-7. Qual é a variação percentual do coeficiente de transmissão T correspondente a uma variação de 1% a) da altura da barreira. B) da largura da barreira. C)da energia cinética do elétron incidente?
Passo 1
Saalve galerinha, tudo certo? Bem, vamos lá meus pequenos Einsteins! (a) Se m é a massa da partícula e E é a sua energia, então a transmissão coeficiente para uma barreira de altura Ub e largura L é dado por

Se a alteração ∆Ub em Ub for pequena (tal como está), a alteração do coeficiente de transmissão é dada por
![]()
Agora,

Logo,
![]()
Para os dados do exemplo 38-7,

Existe uma queda de 20% no coeficiente de transmissão.
Passo 2
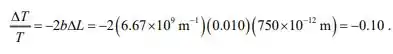
A alteração do coeficiente de transmissão é dada por
![]()

Existe uma queda em 10% do coeficiente de transmissão.
Passo 3
(c) A alteração do coeficiente de transmissão é dada por

![]()
Logo,

Existe um aumento em 15% no coeficiente de transmissão.