A energia de Fermi do cobre é 7 eV. Para o cobre a 1000K, (a) Determine a energia do nível cuja probabilidade de ser ocupado por um eletron é 0,900. Para essa energia, determine (b) a densidade de estados N(E) e c) a densidade de estados ocupados No(E).
Passo 1
Saalve galerinha, tudo certo? Bem, vamos lá meus pequenos Einsteins! (a) Eq. 41-6 leva a

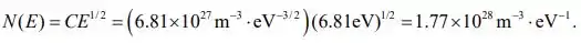
b) A densidade de estados é dada por:
![]()
c) A densidade de estados é dada por:
![]()
Resposta
Resposta nos passos