Um estado 63 meV acima do nível de Fermi tem uma probabilidade de ocupação de 0,090. Qual é a probabilidade de ocupação de um estado de 63 meV abaixo do nível de fermi ?
Passo 1
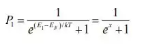
Saalve galerinha, tudo certo? Bem, vamos lá meus pequenos Einsteins! Seja E1 = 63 meV + EF e E2 = - 63 meV + EF. Depois de acordo com Eq. 41-6,

Logo,

Ou seja, 91%.
Resposta
Resposta nos passos