Quando a Segunda Guerra Mundial terminou, as autoridades holandesas prenderam o artista holandês Hans van Meegeren, acusando-o de ter vendido um quadro valioso ao criminoso de guerra nazista Hermann Goering. A pintura, Cristo e a Adúltera, como várias outras de autoria do mestre holandês Johannes Vermeer (1632-1675), tinha sido encontrada por van Meegeren depois de permanecer desaparecida durante quase 300 anos. Vender aquele tesouro nacional ao inimigo só podia ser considerado um ato de alta traição. Pouco depois de ser detido, porém, van Meegeren declarou, para surpresa geral, que Cristo e a Adúltera e os outros quadros “descobertos” por ele não passavam de falsificações. Explicou ele que havia imitado o estilo de Vermeer, usando telas de 300 anos de idade e pigmentos da época; assinara os trabalhos como se fossem de Vermeer e submetera as pinturas a um processo de envelhecimento acelerado em um forno para que parecessem autênticas. Estaria van Meegeren mentindo para escapar à acusação da alta traição, na esperança de ser condenado a uma pena menor pelo crime de fraude? Para os peritos, Cristo e a Adúltera certamente parecia um legítimo Vermeer, mas na época do julgamento de van Meegeren, em 1947, não existia nenhum método científico capaz de esclarecer a questão. Depois de pintar uma imitação de Vermeer enquanto estava na prisão, van Meegeren conseguiu convencer os acusadores e foi condenado a apenas um ano de prisão por fraude. Alguns especialistas, porém, continuaram a sustentar que os Vermeer eram autênticos. Em 1968, Bernard Keisch, da Carnegie-Mellon University, chegou a uma resposta definitiva usando uma pequena amostra de pigmento à base de chumbo removido do mais famoso entre os quadros supostamente descobertos por Meegeren, Cristo e Seus Discípulos em Emaús. Esse pigmento é obtido a partir de minério de chumbo, no qual parte do chumbo é produzida através de uma longa série de decaimentos que começa com o 238U e termina com o 206Pb. Para acompanhar o raciocínio de Keisch, vamos concentrar a atenção na parte da série que começa com o 230Th e termina com o 206Pb e que pode ser resumida da seguinte forma (alguns radionuclídeos intermediários, de meia-vida relativamente curta, foram omitidos): (a) Mostre que em uma amostra de minério de chumbo, a taxa de variação do número de núcleos de 210Pb é dada por em que N210 e N226 são os números de núcleos de 210Pb e 226Ra na amostra, e λ210 e λ226 são as constantes de desintegração correspondentes. Como os decaimentos vêm ocorrendo há bilhões de anos e a meia-vida do 210Pb é muito menor que a do 226Ra, os nuclídeos 226Ra e 210Pb estão em equilíbrio, isto é, o número desses nuclídeos na amostra não varia com o tempo. (b) Qual é a razão R226 /R210 das atividades desses nuclídeos em uma amostra de minério de chumbo? (c) Qual é a razão N226 /N210 dos números desses nuclídeos em uma amostra de minério de chumbo? Quando o pigmento à base de chumbo é fabricado a partir do minério, a maior parte do 226Ra é perdida. Suponha que permanece apenas 1,00%. Pouco depois que o pigmento é produzido, quanto valem as razões (d) R226 /R210 e (e) N226 /N210?
Passo 1
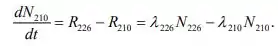
Saalve galerinha, tudo certo? Bem, vamos lá meus pequenos Einsteins! (a) A partir da série de decadência, sabemos que N210, a quantidade de núcleos 210Pb, muda por causa de duas decadências: a decadência de 226Ra para 210Pb à taxa R226 = λ226N226, e a decomposição de 210Pb para 206Pb à taxa R210 = λ210N210. A primeira destas decadências causa N210 a aumentar enquanto que o segundo faz diminuir. Assim, o segundo,
![]()
Passo 2
b) Nós definimos . Para obter
c) De , obtemos:

d) Uma vez que apenas 1,00% dos 226Ra permanecem, a razão R226/R210 é de 0,00100 da razão estado de equilíbrio calculado em parte (b). Assim, a razão é (0,0100)(1) = 0,0100.
Passo 3
(e) Isto é semelhante à parte (d) acima. Uma vez que resta apenas 1,00% dos 226Ra, a proporção
N226/N210 é 1,00% do estado de equilíbrio calculado na parte (c), ou (0,0100)(70,8) = 0.708.
(f) Dado que o valor real de N226/N210 é 0,09, muito mais próximo de 0,0100 do que de 1, a amostra do pigmento de chumbo não pode ter 300 anos de idade. Portanto, Emaús não é um Vermeer.
Resposta
Resposta nos passos