Usando a eq. 40-26 estime a razão entre as energias dos fótons associados às linhas de Ka de dois elementos cujos números atômicos são Z e Z’. Qual é essa razão para os elementos uranio e alumínio? C) Qual é a razão para os elementos uranio e lítio?
Passo 1
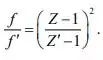
Saalve galerinha, tudo certo? Bem, vamos lá meus pequenos Einsteins! (a) Segundo Eq. 40-26assim a relação de energias é (usando Eq. 38-2)

Passo 2
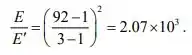
(b) Referimo-nos ao Anexo F. Aplicando a fórmula da parte (a) a Z = 92 e Z' = 13, nós obtemos:

Passo 3
(c) Aplicando isto a Z = 92 e Z' = 3, obtemos

Resposta
Resposta nos passos