Use as entalpias de ligação (Tabelas 4E.2 e 4E.3) para estimar as entalpias da reação de halogenação do eteno pelo cloro, pelo bromo e pelo iodo. Qual é a tendência desses números, caso exista alguma?
Passo 1
E aí, jovem Padawan, tudo certo?
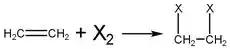
Temos aqui, três casos de halogenação do eteno, onde serão ADICIONADOS à molécula um par de halogênios X2, sendo X, Cloro, Bromo e Iodo.
O que vai acontecer, Padawan, é que a ligação X–X será rompida para formar duas ligações C–X
Passo 2
Uma halogenação de um eteno é uma reação de adição que quebra a ligação dupla para adicionar o halogênio e o Hidrogênio aos carbonos que romperam a ligação dupla entre si:
![]()
Agora só precisamos ver nas tabelas os valores de entalpia de quebra de ligação de cada X–X e de formação de cada C–X.
Passo 3
Vendo na tabela, temos os seguintes valores para os pares de X:

Com isso, notamos que a tendência é que a reação fica cada vez menos exotérmica, conforme o halogênio fica mais pesado.
Resposta
ΔHCl= - 434 KJ/mol, ΔHBr= - 359 KJ/mol, ΔHI= - 325 KJ/mol
A tendência é que a reação fica menos exotérmica a medida que o halogênio fica mais pesado.