Achar os valores e os vetores próprios do operador do dado por:
c.
Passo 1
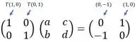
Primeiro, vamos colocar em forma de matriz de e que seria, para isso vamos colocar em um sistema para ficar claro

Assim teremos o sistema
Substituindo, encontramos a matriz!
Vamos usar a formulazinha para descobrir os valores próprios
Lembrando que é a matriz identidade e o é o valor que queremos descobrir, logo
Passo 2
Vamos subtrair
Certinho? Então descobrimos , agora falta colocar no determinante!
Então calculando o determinante temos a equação característica
Uhuul! Encontramos o polinômio característico!
Mas como não existe raiz quadrada negativa dentro dos reais, concluímos que não existe solução de autovalores e vetores para os reais.
Resposta
Não existem valores e vetores próprios reais