Achar os valores e os vetores próprios do operador linear do dado por
- ;
Passo 1
Primeiro, vamos colocar em forma de matriz de . Para isso vamos colocar em um sistema para ficar claro

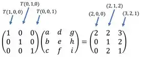
Você reparou que a primeira matriz é a identidade? Isso significa que qualquer matriz multiplicada pela identidade vai resultar a própria matriz, dessa forma
Encontramos a matriz! Vamos usar a formulazinha para descobrir os valores próprios
Lembrando que é a matriz identidade e o é o valor que queremos descobrir, logo
Passo 2
Vamos subtrair
Certinho? Então descobrimos , agora falta colocar no determinante!
Então calculando o determinante temos a equação característica
Uhuul! Encontramos o polinômio característico! Resolvendo os autovalores são
Bora encontrar os vetores próprios?
Passo 3
Começando para
Colocando em um sisteminha teremos
A matriz estendida será
Fazendo Gauss-Jordan para simplificar a matriz, teremos
No sistema então
Logo o vetor é
Passo 4
Para
Colocando em um sisteminha teremos
A matriz estendida será
Fazendo Gauss-Jordan para simplificar a matriz, teremos
No sistema então
Logo o vetor é
Passo 5
Começando para
Colocando em um sisteminha teremos
A matriz estendida será
Fazendo Gauss-Jordan para simplificar a matriz, teremos
No sistema então
Logo o vetor é