- Use o Algoritmo 3.2 para construir o polinômio interpolador de grau três para o
pontos espaçados dados na tabela a seguir:

- Adicione à tabela e construa o polinômio interpolador de grau quatro.
pontos espaçados dados na tabela a seguir:

Passo 1
Alô Alô, bora resolver mais umaaaa?
Simboráa
- Vamos considerar a seguinte tabel
- Considerando a seguinte tabela

Construa a tabela de diferenças divididas de newtons usando a seguinte expressão
Passo 2
Iremos considerar a tabela a seguir

Portanto, pela fórmula da diferença direta de newton, o polinômio de interpolação será

Passo 3

Construindo a tabela de diferenças divididas em newtons

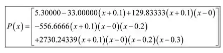
Portanto, pela fórmula da diferença direta de newton, o polinômio de interpolação será

Resposta
Vide a xplicação.