- Encontre os intervalos nos quais é crescente ou decrescente.
- Encontre os valores máximo e mínimo local de .
- Encontre os intervalos de concavidade e os pontos de inflexão.
Passo 1
Olá, meu amigo. Yuri aqui e estarei te ajudando a resolver essa atividade. Aqui iremos trabalhar os pontos importantes da função dada que é:
Primeiro, queremos os intervalos onde ela é crescente e decrescente.
Ela vai ser crescente quando a sua derivada for positiva
E decrescente quando sua derivada for negativa
Depois queremos os máximos e mínimos locais.
Para isso encontramos os pontos críticos da função, que é onde a derivada é igual a zero.
E então verificamos, se antes do ponto a derivada é positiva e depois negativa, é um ponto de máximo, pois a função crescia, chegou no máximo e depois decresce.Se for o contrário, o ponto é de mínimo, pois aí a função decrescia, chegou no mínimoe então passou a crescer.
Por fim, para encontrar os intervalos de concavidade, vamos derivar de novo, para encontrar a segunda derivada.
Se a segunda derivada for positiva, a função é côncava para cima:
Se a segunda derivada for negativa, a função é côncava para baixo:
E quando a segunda derivada é nula, isso indica um ponto de inflexão:
Bora lá?
Passo 2
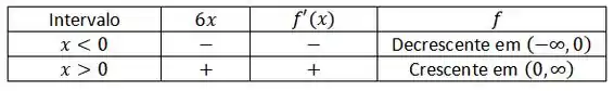
Para achar os intervalos em que a função é crescente ou decresente vamos calcular a primeira derivada, e analisar os sinais:
Vamos usar as regras de derivação da função constante, da divisão e do polinômio:
Vamos agora aplicar:
O denominador é sempre positivo, então o sinal de vai ser determinado pelo numerador:

Então a função é decrescente no intervalo e crescente no intervalo .
Passo 3
Para ser um ponto de máximo ou mínimo local, o sinal de deve mudar nesse ponto, de forma que nesse ponto .
Vemos que em há mudança do sinal de de negativo para positivo.
Como em , a derivada vale zero e o sinal muda de negativo para positivo, então ele é um ponto de mínimo local.
Para achar os valores é só substituir os valores em :
Passo 4
Para achar os intervalos de concavidade devemos achar e analisar os sinal, aqui usaremos também a regra da cadeia:
Vamos lá então:
Aplicando a regra do quociente.
Para derivar o último termo, aplicamos a regra da cadeia.
Dando uma ajeitada nisso tudo.
Simplificando o
E agora eu vou fatorar o numerador para ficar mais fácil de entender o seu comportamento.
O denominador é sempre positivo, então o sinal de vai ser determinado pelo numerador:

Para achar os pontos de inflexão devamos fazer :
e
Para garantir que é ponto de inflexão, devemos ver se existe:
Temos que o ponto de inflexão é e.
Resposta
Decrescente em e Crescente em
é mínimo local
Concavidade para baixo em e e para cima em e ponto de inflexão é e