Uma carga positiva é distribuída uniformemente ao longo de uma semicircuferência de raio (Figura 21.49). Obtenha o campo elétrico (Módulo, direção e sentido) no centro de curvatura P.

Passo 1
Vamo lá pessoas e pessoais 😊 Primeiro, temos que dividir o semicurcilo em segmentos infinitesimais. Encontraremos o campo elétrico devido a cada segmento e integraremos tudo pelo semicírculo e encontraremos o campo elétrico total.
Passo 2
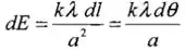
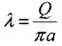
O campo elétrico pela direção da metade da esquerda e da metade da direita do semicírculo se cancelam. Então só calcularemos o eixo na direção . A carga por unidade de comprimento do semicírculo é:
![]()
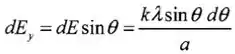
E,
![]()
Passo 3
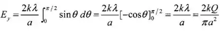
Então bora continuar na direção .

Portanto,

Na direção .