Uma carga positiva é distribuída uniformemente sobre o eixo de até . Uma carga puntiforme positiva . Está sobre a parte positiva do eixo , no ponto , a uma distância r à direita da extremidade de .

(a)Determine os componentes e do campo elétrico produzido pela distribuição de cargas nos pontos da parte positiva do eixo para (b) Obtenha a força (módulo, direção e sentido) que a distribuição de cargas exerce sobre a carga . (c) Mostre que para os pontos , o módulo da força calculada no item (b) é aproximadamente igual a . Explique a razão desse resultado.
Passo 1
Hey hey, vamo lá! Física III é uma delícia 😊! Temos que dividir a distribuição da carga em segmentos infinitesimais de tamanho . Já sacaram a idéia né? Calcularemos e para o segmento e integraremos para acharms o campo total!
Passo 2
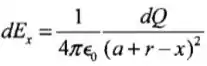
Temos que a carga de um segumento de tamanho é . A distance entre um segmento em x e a carga é . , quando . Sabendo disso, vamos começar a fazer a questão de fato! Portanto, para (a):

Logo,

Sabemos também que,
![]()
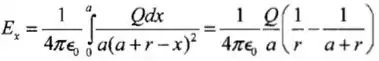
Logo,

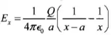
Portanto,
![]()
Passo 3
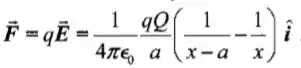
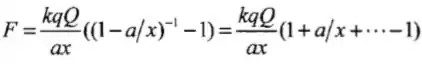
Continuando, para a força em (b),

(c) Para ,

Isso nos dá aproximadamente,
