Nos exercícios de 11 a 31, calcular as integrais indefinidas.
25.
Passo 1
Queremos integrar a função .
Passo 2
Podemos simplificar a integral para que fique mais fácil de integrar da seguinte forma:
Sabendo que a integral da soma é a soma das integrais, temos:
Podemos agora resolver as integrais separadamente.
Passo 3
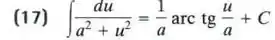
Para a integral:
Pela tabela de integral no final do livro temos:

Aqui, as integrais são conhecidas, dessa forma as integrais separadas são as seguintes:
Passo 4
Para a integral:
Pelo meto da substituição, temos que:
Agora substituímos na integral.
Sabemos das relações trigonométricas que , assim podemos substituir no denominador.
Gora podemos simplificar:
Não sabemos resolver a integral de mas podemos substitui pela relação citada acima.
Sabemos que a integras da soma é assoma das integrais, então podemos dividir em duas integrais.
Agora temos duas integrais que sabemos resolver.
e
Agora colocamos e função de novamente, temos da substituição que fizemos que:
Queremos saber também quem é usando a relação acima e função arco tangente dos dois lados temos:
Temos então que:
Passo 5
Temos então que:
