Nos exercícios de 11 a 31, calcular as integrais indefinidas.
15.
Passo 1
Queremos integrar a função .
Passo 2
A integral de pode ser simplificada da seguinte maneira:
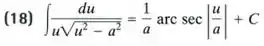
Pela tabela de integral no final do livro

Então temos:
Temos então que:
Nos exercícios de 11 a 31, calcular as integrais indefinidas.
15.
Queremos integrar a função .
A integral de pode ser simplificada da seguinte maneira:
Pela tabela de integral no final do livro

Então temos:
Temos então que: